4.7 부정적분(Antiderivatives)
integrals: 적분
antiderivative : 역도함수
indefinite integrals : 부정적분
- 길게 늘인 기호는 적분 기호(integral sign),
- 는 피적분 함수(integrand),
- C는 적분 상수(constant of integration)



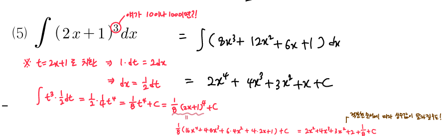
Antiderivative Linearity rules : 역도함수 선형성 법칙 : 상수 k 가 곱해져 있으면 x에 관한 식만 적분, 상수 k는 빼놓기.
더해져있는거 분리가능


5.5 The Substitution Rule (치환적분법)



rationalizing substitution : 유리화 치환
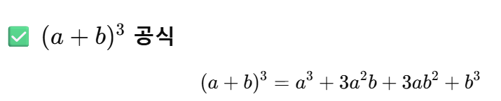
6.1 Integration by Parts (부분적분법)



reduction formula : 점화공식

6.3 Integration of Rational Functions by Partial Fractions (부분분수를 이용한 유리함수의 적분)


Linear Factors : 일차식으로 인수분해


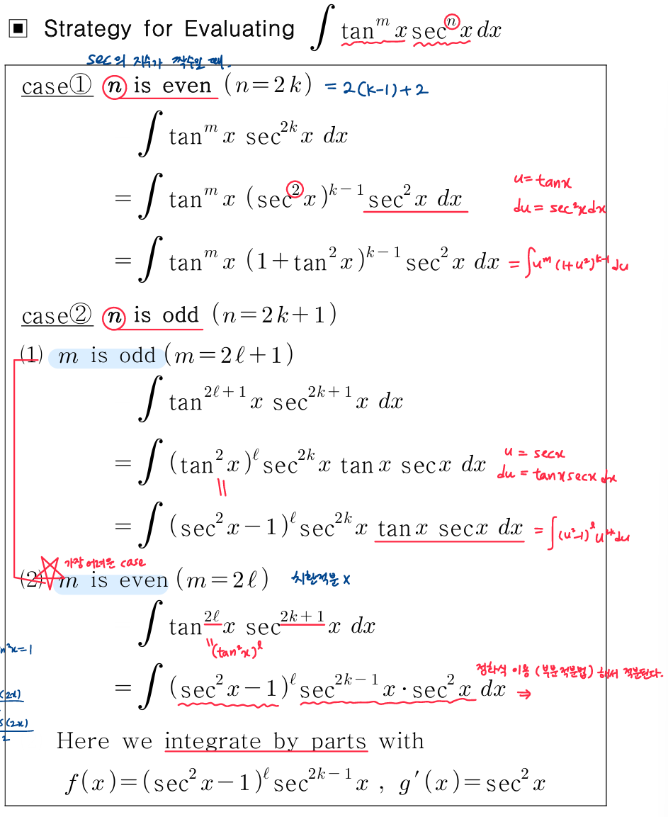
6.2 Trigonometric Integrals and Substitution (삼각함수 적분과 치환법)

삼각함수 적분에서

형태의 적분을 푸는 전략을 정리한 것.
핵심 아이디어: 홀수/짝수 여부에 따라 공식을 다르게 적용!



6.3 Trigonometric Substitution (삼각치환법)

5.2 The Definite Integral(정적분) = Riemann합의 극한




“유한 개의 jump discontinuities(도약 불연속점)”일 때 함수가 정적분 가능하다는 정리










'EWHA > 25-1' 카테고리의 다른 글
| [미적분1] 8. Infinite Sequences and Series(무한수열과 급수) (0) | 2025.07.23 |
|---|---|
| [미적분1] 7. 적분의 응용 (0) | 2025.07.20 |
| [미분적분학 I] 암기해야 할 것 (6) | 2025.07.10 |
| [미분적분학 I] 3. 역함수 (Inverse Functions) (0) | 2025.07.03 |
| [미분적분학 I] 2. 도함수 (Derivatives) (1) | 2025.07.02 |