수열: 시험문제 x, 어떤수열은 수렴, 어떤수열은 발산하는지 내용 정확히 알고 있어야함.



8.2 Series(급수)








8.3 The Integral and Comparision test(적분판별법과 비교판별법)






교대조화급수는 전부 conditionally convergent


공비의 극한이 1보다 작으면 수렴, 1보다 크거나 무한이면 발산




1. 먼저 극한이 0 아니면 → 발산판정법 ✅
2. 기하급수냐? → 기하급수판정 ( | r | < 1 수렴)
3. p-급수냐? → p > 1이면 수렴
4. 교대 부호냐? → 교대급수판정 or 절대수렴 체크
5. 지수/팩토리얼 있냐? → 비율판정법!
6. 복잡한 항, 함수처럼 생김? → 적분판정법
7. 애매하다? → 비교판정법 (직접 or 극한)
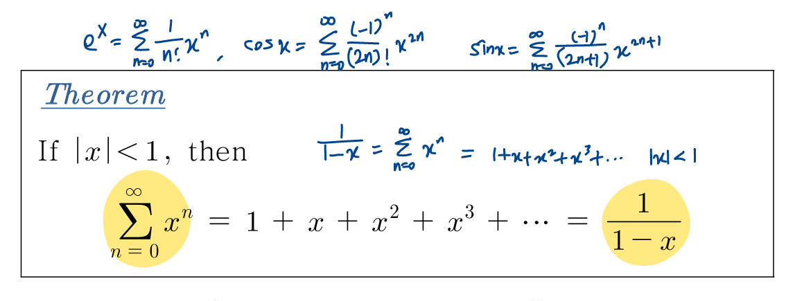
8.5 Power Series (멱급수)






8.6 Represnentations of Functions as Power Series (함수를 멱급수로 표현)





'EWHA > 25-1' 카테고리의 다른 글
| [미적분1] 최종암기본 (2) | 2025.07.23 |
|---|---|
| [미적분1] 7. 적분의 응용 (0) | 2025.07.20 |
| [미분적분학 I] 5&6. 적분, 적분 기법 (0) | 2025.07.19 |
| [미분적분학 I] 암기해야 할 것 (6) | 2025.07.10 |
| [미분적분학 I] 3. 역함수 (Inverse Functions) (0) | 2025.07.03 |