3.1 좌표계
- 직각좌표: (x,y)로 표현한 데카르트 좌표
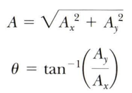
- 평면극좌표: (r,θ)

고정축: +x축/ 각도: 시계 반대방향
x=rcosθ, y=rsinθ
3.2 벡터양과 스칼라양
-스칼라양: 적절한 물리적 단위는 갖지만 방향성이 없는 하나의 단순한 수치. ex) 부피, 질량, 속력, 시간, 시간간격,온도(양수음수 값 가질 수 o)
-벡터양: 스칼라양과 같이 적절한 물리적 단위를 가지며 크기와 방향 모두 갖는 양 ex) 바람의 속도, 변위(두 점 사이의 경로에는 무관한 채 시작점과 끝점의 위치에 의존), 물리적인 단위 가짐 ex) m, m/s, 항상 양수
-

벡터 표시

벡터 크기 표시
3.3 기본적인 벡터 연산
-벡터의 동등: 크기와 방향이 같음. ( A=B를 만족하고 평행선을 따라 같은 방향을 가리킬 때 )
-벡터의 덧셈: 합 벡터 도출,

머리-꼬리법: 처음 벡터의 꼬리에서 마지막 벡터의 머리 부분까지 연결


덧셈의 교환법칙: 두 벡터 더할 때 덧셈의 순서에 무관

덧셈의 결합법칙: 셋 이상의 벡터 더할 때 합이 어떤 두 벡터 먼저 더하느냐와 무관
둘 이상의 벡터를 더할 때 벡터는 모두 같은 단위를 가져야 하고 같은 물리량 나타내야 함.
-벡터의 뺄셈: 음의 벡터의 정의 이용, -A는 A와 크기 같지만 서로 반대방향 가리킴, A-B=A+(-B)

-벡터와 스칼라의 곱셈: 벡터 A에 양수의 스칼라양 m을 곱하면 mA는 A와 방향이 같고 크기가 mA인 벡터. 음수의 스칼라양 -m 곱하면 -mA는 벡터 A와 반대 방향이고 크기가 mA인 벡터.
3.4 벡터의 성분과 단위벡터
성분(직각성분): 벡터의 각 좌표축에 대한 사영



-단위벡터: 차원이 없고 크기가 1인 벡터(주어진 방향만을 표시하기 위하여 사용)




'EWHA > 24-2' 카테고리의 다른 글
| [일반물리학] ppt 개념정리_기말 (2) | 2024.12.08 |
|---|---|
| [일반물리학] PPT 개념정리 (2) | 2024.10.28 |
| [일반물리학] chap2. 일차원에서의 운동 (1) | 2024.10.02 |