2.1 위치 속도 속력
-변위:

어떤 시간 간격동안 위치 변화(이동거리와 다름)
-벡터양: 물리량으로 방향과 크기가 있음
스칼라양: 숫자값을 갖지만 방향은 없음
-평균속도:

입자의 변위를 변위가 일어난 시간 간격으로 나눔.(변위의 부호에 따라 양 or 음)
-평균속력:

스칼라양, 전체 거리를 이동하는데 걸린 전체 시간 간격
*입자의 평균 속도와 평균 속력을 알더라도 입자 운동에 대한 상세한 정보는 알 수 없음.
2.2 순간 속도와 속력
-순간속도:


(t에 관한 x의 도함수)
양수, 음수, 0이 될 수 있음.(이제 순간속도=속도, 평균 속도를 말할 때에는 항상 '평균' 을 붙임)
-순간속력: 순간속도의 크기로 정의(연관된 방향이 없어서 부호 x)
2.3 분석모형: 등속 운동하는 입자

ㄴ등속 운동하는 입자 모형에 사용되는 중요한 관계식
곡선의 경로를 따라 움직이는 입자:

일정한 속력으로 운동하는 입자 모형
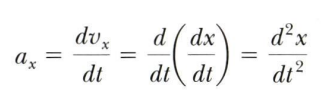
2.5 가속도
-평균가속도:

속도변화를 변화가 일어나는 동안의 시간간격으로 나눈 값
-순간가속도:

평균 가속도의 극한, 시간에 대한 속도의 도함수, 속도-시간그래프에서 접선의 기울기, 속도의 시간 변화율
-물체의 속도와 가속도가 같은 방향 > 물체 속력 증가. 물체의 속도와 가속도 반대방향> 물체 속력 감소

물체에 작용하는 힘은 물체의 가속도에 비례
*순간가속도를 가속도라 부르고 평균가속도는 평균가속도라 부름.

일차원 운동에서 입자의 가속도는 시간에 대한 입자의 위치 x의 이계 도함수(이차 도함수0와 같음.

t에 관한 x의 도함수
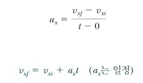
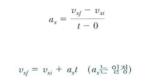
2.6 분석 모형: 등가속도 운동하는 입자
-등가속도 운동하는 입자: 항상 평균가속도=순간가속도, 입자의 속도는 운동하는 전 구간에 걸쳐 같은 비율로 변화


위치-시간 그래프
속도-시간 그래프
가속도-시간 그래프
ax=등가속도
-등가속도운동에서 어떤 시간 간격 동안의 평균 속도는 처음속도와 나중속도의 산술평균.

등가속도로 움직이는 일차원 운동에 관한 문제를 푸는 데 사용될 수 있음(가속도가 변할때 사용 불가)
2.7 자유낙하물체
-자유낙하: 공기 저항이 없는 이상적인 경우 같은 높이에서 떨어뜨릴 때 질량에 상관없이 모든 물체가 같은 가속도로 떨어짐
-자유낙하물체: 처음의 운동 상태에 상관없이 중력만의 영향하에서 자유롭게 움직이는 물체
-자유낙하가속도(중력가속도) 크기=g : 고도가 높아짐에 따라 감소
'EWHA > 24-2' 카테고리의 다른 글
| [일반물리학] ppt 개념정리_기말 (2) | 2024.12.08 |
|---|---|
| [일반물리학] PPT 개념정리 (2) | 2024.10.28 |
| [일반물리학] chap3. 벡터 (2) | 2024.10.03 |