- 에너지(Energy)
- 에너지/일=(에너지/작용) x (작용/일)
1. 역학 - 힘과 운동
- 중력(질량), 추진력(단위시간당 배출하는 기체의 양과 속력), 양력(물체를 위로 띄우는 힘, 속도에 비례, 모양이 중요), 항력(이동 시 앞의 공기가 가로막는 힘, 속도에 비례)
- 운동이란?
- 변위: 물체의 위치 변화량
- 속도, 속력
- 가속도
- 시간
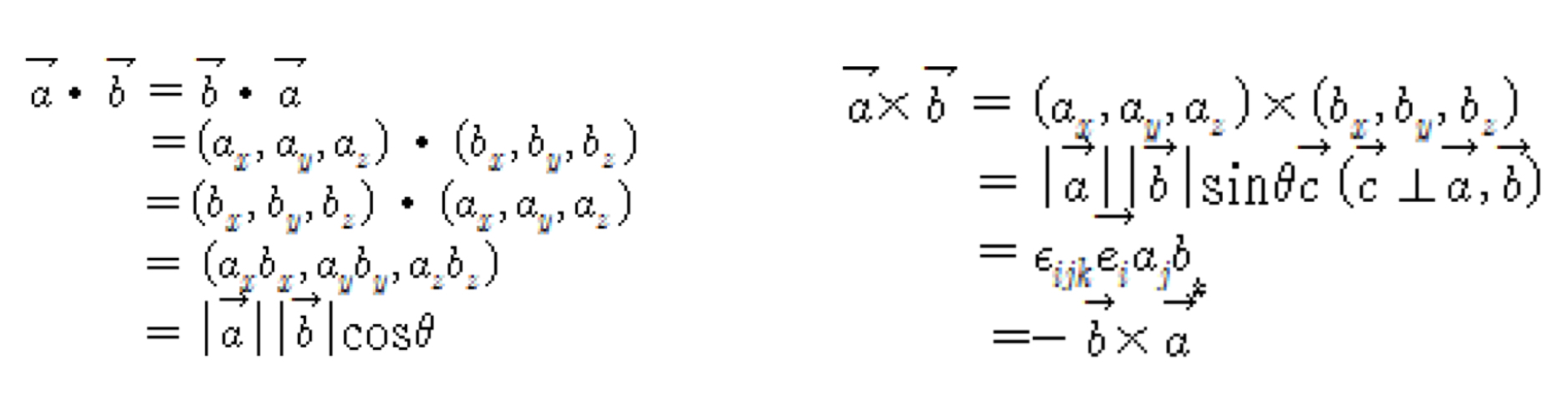
- 벡터 :
- 크기와 방향 :
- 좌표와 성분 :

- 내적은 교환법칙 성립, 외적은 교환법칙 성립하지 않음, 내적은 2차원에서도 정의 가능, 외적은 3차원에서만 정의 가능

- 벡터에 대한 수학적 고찰
- 벡터장(vector field) :
- 중력장:
- 전기장:
자기장:
- 벡터공간 (vector space):
- 단위벡터, 기저벡터
- 차원
- 사영
- 벡터장(vector field) :
- 자유낙하운동 : 질량에 상관없이 지상에 도달하는 시간은 같음(중력이 질량에 비례하여 모든 물체에 작용한다"는 사실 제외하고 설명?
- 자유 낙하하는 공의 초기속력은 V0=0 이고 a=g(중력가속도) 인 등가속도 운동을 하고 있음(t초의 시간이 지난 후 속력은 v=gt. 등가속도 운동이므로 평균 속력=1/2gt.
자유낙하운동: 물체가 공기저항 받지 않고 중력만을 받음. 속력은 매 초 9.8m/s씩 증가



- 포사체의 운동



- 포물체/포사체 ;
- 그 궤적이 포물선을 그리는 물체, 포사체 궤적=포물선.
- 포물선 운동 or 포물체/포사체 운동 : 두 성분(등속운동:수평, 등가속도운동: 수직) 이 합해져 방향이 변하는 운동
- 지배하는 힘이 중력뿐. 위치에 따라 변하지 않는 중력가속도 존재
- 정확한 예측 가능(공기저항,지구자전 무시)
- 예측위치는 초기조건(초기변위, 초기속도)에 의함.

- 힘이란?
- 운동의 원인 : 눈에 보이는 물체(질량, 위치, 시간,속도, 가속도...)
- 눈에 보이지 않는 힘
- 힘의 작용
- 뉴턴의 법칙
- 1법칙(관성의 법칙) : 관성계 - 물체의 질량 중심은 외부 힘이 작용하지 않는 한 일정한 속도로 움직인다. (버스 안 사람)

- 관성좌표계

- 속도는 무한히 커질 수 있음: "최대 속도" or "속도상한" 없음
- 2법칙(운동의 법칙): 벡터미분방정식, 관성질량과 중력질량 - 물체의 운동량의 시간에 따른 변화율은 그 물체에 작용하는 알짜외부힘과 (크기와 방향에 있어) 같다.

m은 관성질량, 운동을 방해하는 역할
F는 외부에서 이 질량 m에 작용하는 힘의 벡터합(vector sum) / 중력, 자기력, 전기력 등 모든 힘이 다 될 수 있다.
우리가 관심있는 경우: F=0이거나 F=-kx와 같은 Hooke의 힘(복원력)이 작용하는 경우.
- 중력의 운동방정식(3차원 미분방정식)


이 방정식의 해는 2차곡선(원, 타원, 포물선, 쌍곡선)으로 주어짐(중력질량=관성질량)

- 미분방정식 (=운동방정식)은 미지의 함수, 도함수, 이 함수들의 함수값에 관계된 여러 개의 변수들에 대한 수학적 방정식.
- 미분방정식의 계수: 미분 횟수가 가장많은 독립 변수의 계수가 결정지음, 차수는 계수를 결정지은 독립변수의 미분꼴이 거듭제곱된 횟수에 따라 결정.
- 뉴턴의 운동법칙은 물체의 미지의 위치를 시간에 대한 함수로 표현, 물체의 위치, 속도, 가속도, 물체에 작용하는 힘 등을 함수에 대한 미분 방정식으로 나타냄 > 변량들을 역학적으로 표현. 숫자가 아니라 함수가 답이 된다.



- 3법칙(작용-반작용의 법칙): 선운동량, 물체계, 질량중심 - 물체 A가 다른 물체 B에 힘을 가하면 물체 B는 물체 A에 크기는 같고 방향은 반대인 힘을 동시에 가함.
- 벡터 vs 스칼라
- 스칼라: magnitude(규모),크기가 있음, 점 only ex.질량, 시간, 온도, 전압, 전하,속력, 부피(m^3)
- 벡터: magnitude and direction ex.변위, 힘, 속도, 전계, 자기장

- 벡터의 성분: 벡터=좌표.


- 벡터의 연산
- 합

- 곱 : 스칼라 x 벡터

- 내적




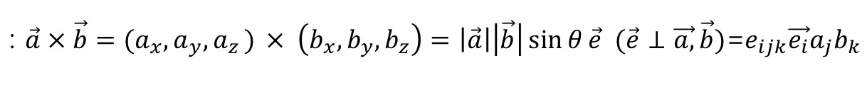
- 외적(cross product, outer product)

외적은 교환법칙 성립 x, 외적은 3차원에서만 정의할 수 있음.



- 오른손법칙: A*B의 결과인 외적벡터는 벡터 A를 향해 손을 뻗은 후 벡터 B쪽으로 오므려줄 때 오른손의 엄지손가락이 가리키는 방향. 그 벡터는 두 벡터 A,B에 동시에 수직!



(1) 힘이란 무엇인가?
- 운동의 원인
- 눈에 보이는 물체(질량, 위치, 시간,속도, 가속도, 시간 등)
- 눈에 보이지 않는 힘 (힘, 상호작용)
- 힘의 작용 (단위 질량당 힘, 단위 전하당 힘)
- 뉴턴의 법칙
- 제1법칙 (관성의 법칙) :관성계- 물체의 질량 중심은 외부 힘이 작용하지 않는 한 일정한 속도로 움직인다.
- 제2법칙 (운동의 법칙): 벡터미분방정식, 관성질량과 중력질량- 물체의 운동량의 시간에 따른 변화율은 그 물체에 작용하는 알짜힘과 (크기와 방향에 있어서) 같다.

- 제3법칙 (작용-반작용의 법칙): 선운동량, 물체계, 질량중심 - 물체 A가 다른 물체 B에 힘을 가하면, 물체 B는 물체 A에 크기는 같고 방향은 반대인 힘을 동시에 가한다.

- (2) 마찰력(최대정지마찰력, 운동마찰력)
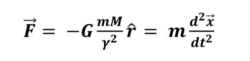
- 중력
-중력(질량과 질량이 서로 당기는 힘)

여기서 m들은 중력질량으로 힘을 만드는 원인. 나중에 운동방정식의 m과 비교하여 같은 물리량이라고 가정>> 아인슈타인의 일반상대론 얻을 수 있음.
- 전기력
-전기력(전하와 전하가 서로 밀거나 당기는 힘)


- 자기력
-(자석과 자석이 서로 밀거나 당기는 힘) = (전류와 전류가 서로 밀거나 당기는 힘)

2. 마찰이란 무엇인가?
*시험문제 많이 나오는 part, 도르래문제 많이 나옴!!중요
- 마찰력 - 수직항력 - 마찰계수
- Q. 테이블에 가만히 있는 물체의 운동을 서술하시오.
- A. 두 개의 힘이 가해짐(중력과 수직항력)
- 장력(T) : 줄에 의해 전달되는 힘, 질량 무시, 길이가 늘어나거나 줄어들지 않음.*보통의 역학 문제에서 T는 상쇄되어 구할 필요 X, 물체별로 운동방정식(F=ma) 풀게 된다.


- 마찰력: 마찰계수 * 수직항력





*시험문제 단위 조심!!
<시험문제>
Q. 물체의 중력을 쪼개서 방향별로 벡터로 나타내시오.
Q. 수직항력크기, 방향을 표시하시오.





- 도르래

- 도르래에서의 힘의 균형 : 도르래 축에 걸린 힘 F와 줄의 양쪽 끝에 걸린 힘의 합이 같을 때 도르래는 평형상태(일정한 위치에서 움직이지 않는다) 가 된다. 이러한 평형상태에서는 줄에 걸린 장력(tension)이 동등하게 되므로, 줄의 양쪽 끝에 걸린 힘은 같게 되고 따라서 한쪽 줄의 끝에 걸리는 힘은 F/2가 된다.
- 단순움직도르래 :한 개의 움직도르래를 사용하여 줄의 한쪽 끝을 벽에 단단히 고정> 도르래의 축에 걸린 힘 F에 비해 절반의 힘인 F/2의 힘만으로도 평형상태에 이룰 수 있음> 보다 적은 힘으로 물체 이동할 수 있게 해준다.

- (가): 고정도르래 / 힘의 이득 x/ 물체를 들어올리는 힘은 줄 하나가 지탱하고 있음>직접 들어올리는 것과 같이 힘의 이득 x, 고정도르래로 인해 줄을 당기는 힘의 방향만 바뀜.(팔을 내려서 물체 드는 게 더 편하고 방향도 원하는 데로 바꿀 수 있긴 하지..) / 1m올리려면 줄도 1m만 잡아당기면 된다. ->힘 동일, 일 동일
- (나) : 움직도르래 / 힘의 이득 o /도르래 축에 직접 물체 지탱, 줄을 당기면 물체와 함께 도르래 축의 위치도 움직인다. / 움직도르래 사용하려면 줄을 감고 물체를 들어올림 > 물체 지탱하는 줄이 2가닥이 된다. 물체의 무게만 고려하면 두 줄의 합력이 물체의 무게 지탱하는 힘과 같음 > 나란한 각 줄에 걸리는 힘은 물체 무게의 1/2. (물체 무게가 각 줄에 분산) / 물체를 1m 들어올리기 위해 당겨야 하는 줄의 길이는 물체가 올라가는 높이의 2배인 2m(물체가 1m올라갈 때 물체를 지탱하는 두 줄도 동시에 1m씩 움직여야 하므로 도르래를 통해 줄을 당기는 쪽으로 감기게 된다. -> 힘 이득, 일 동일 , 움직도르래 n개가 연결 : F=F0/(n+1)


(가), (나)와 같은 연결방식이 (다), (라)와 같은 연결방식보다 힘의 효과가 더 크다.
(가),(나)는 각 도르래에 걸리는 힘이 무게의 (1/2)^n(움직도르래 개수)로 감소하지만 (다),(라)는 물체를 지탱하는 전체 줄의 수만큼 힘이 줄어듦. (다)>(마) 변형 가능.


(3) 1차원에서의 일
- 일(work) = 힘(force)와 변위(x)의 내적(inner product)

힘-일-에너지의 상호관계
- 힘(force, N) = 질량(mass, kg) * 가속도(acceleration ,m/sec^2)
- 일(work, J)=힘(N) * 거리(m)
- 역학적 에너지(J) : 운동에너지, 포텐셜에너지
- 열역학 및 통계물리학(많은 입자) : 입자계의 에너지(내부에너지, 열, 자유에너지)
- 엔트로피
- 일률(power, W)=일(J) / 시간(sec)=전류(A)*전압(V)
용수철(spring)
- 단순(조화)진동자(sine cosine 함수)
- 복원력: F = -kx
- 용수철의 포텐셜에너지 : 1/2 kx^2








2차원에서의 일
- 보존장으로서의 중력장
1. 일-운동에너지 정리
- 물체가 한 일과 운동에너지 변화량과의 관계를 나타낸다.
- 물체의 운동에너지 변화 = 물체에 작용하는 힘이 한 일
2. 일-운동에너지 정리 표현식
- 계(system)가 행한 일은 그 계의 운동에너지의 변화량과 같다.


- 충돌 : 두 물체 사이 상호작용을 고려하지 않고 운동E만 고려한다. 어떤 경우에도 운동량이 보존된다.
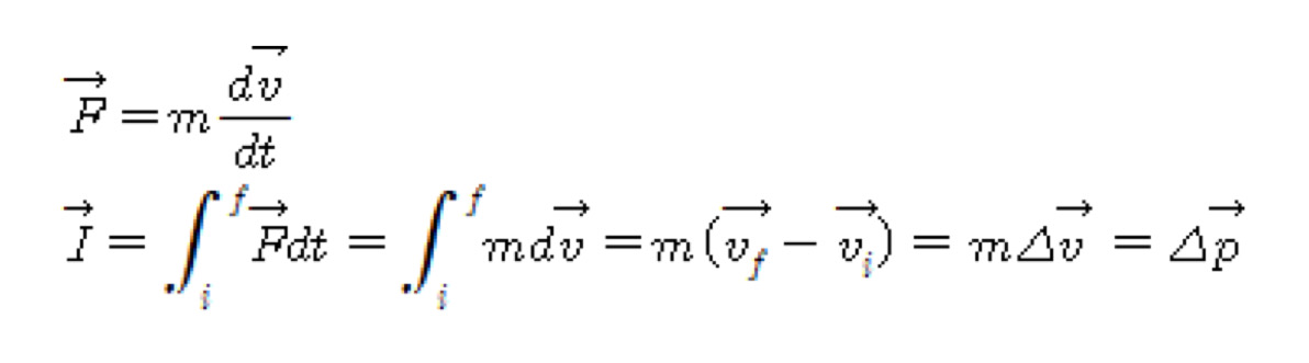
- 선운동량
- 충격량 : 물체가 충돌할 때 받는 힘



1차원 충돌
- 완전 비탄성 충돌
- 운동량 보존의 법칙 성립
- 운동에너지 보존의 법칙 비성립
- 탄성충돌
- 운동량 보존의 법칙 성립
- 운동에너지 보존의 법칙 성립
- 비탄성충돌







로케트 운동
- 로켓 기술하는 방법은 반드시 운동량 보존의 법칙을 적용해야 한다.


*추진력 =연료분사속도(m/s) * 초당 연료분사량(kg/s)
'EWHA > 24-2' 카테고리의 다른 글
| [일반물리학] ppt 개념정리_기말 (2) | 2024.12.08 |
|---|---|
| [일반물리학] chap3. 벡터 (2) | 2024.10.03 |
| [일반물리학] chap2. 일차원에서의 운동 (1) | 2024.10.02 |